• Предмет: Алгебра
  • Автор: nana1304
  • Вопрос задан 3 года назад

Помогите пожалуйста очень прошу нормальное решение

Приложения:

Ответы

Ответ дал: nini681
0

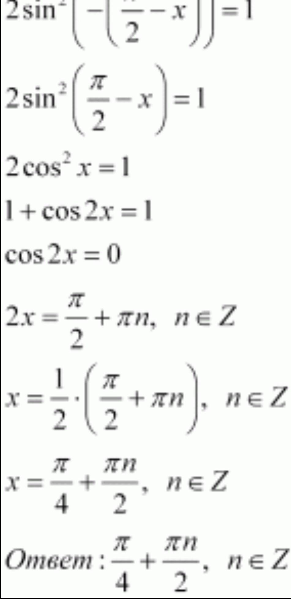
воот!!!!!!!!!!!!!!!!!!

Приложения:
Вас заинтересует