• Предмет: Математика
  • Автор: sslll61
  • Вопрос задан 3 года назад

ПОМОГИТЕ СРОЧНООО, ПОЖАЛУЙСТА

Приложения:

Ответы

Ответ дал: mathpi
0

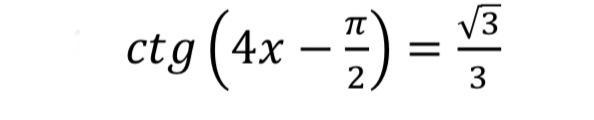
Ответ:

37.5° = \frac{37.5\pi }{180}

Пошаговое объяснение:

ctg(60°)=\frac{\sqrt{3} }{3}

4x-\frac{\pi }{2} = 60°

π = 180°

4x - 90° = 60°

4x = 150°

x=37.5°

x = \frac{37.5\pi }{180}

Вас заинтересует