• Предмет: Алгебра
  • Автор: ponyasheva
  • Вопрос задан 10 лет назад

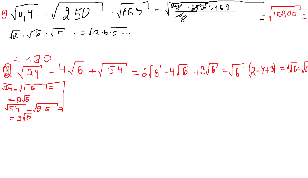
Решите развёрнутым решением: а) корень0,4 * корень250 * корень169 б)корень24 - 4корень6 + корень54 в)4-с : с+2кореньc      Докажите неравенство: корень15 + 4 :4-корень15=31 + 8корень15

Ответы

Ответ дал: kirill8121998
0
Вот буква а) и б) в в) как-то не очень понятно
Приложения:
Ответ дал: masiklol
0
Перемнож 0, 4*250*169=корень 16900 =130
Приложения:
Вас заинтересует