Ответы
Ответ дал:
1
Ответ:
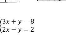
Смотри фото!
Пошаговое объяснение:
Приложения:

asemiomiwb2847:
спасибо большое
Вас заинтересует
2 года назад
2 года назад
2 года назад
7 лет назад
7 лет назад
9 лет назад
9 лет назад