Ответы
Ответ дал:
0
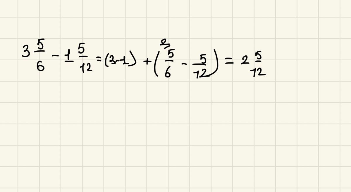
2 5\12
это верно а посчитала :)
Ответ дал:
0
Ответ на фото удачи надеюсь помог
Приложения:

Вас заинтересует
2 года назад
2 года назад
2 года назад
2 года назад
7 лет назад
9 лет назад