• Предмет: Математика
  • Автор: ВзрывЛуны
  • Вопрос задан 11 лет назад

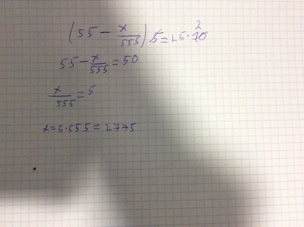
Задумали число, разделили на него 555, полученное частное вычли из 55, результат увеличили в 5 раз и получили число, в 10 раз большее квадрата числа 5. Какое число задумали?

Ответы

Ответ дал: XAnonymousX
0
Решение на слайде , если будут вопросы , пиши!
Приложения:
Вас заинтересует