• Предмет: Математика
  • Автор: makpalorazova8
  • Вопрос задан 3 года назад

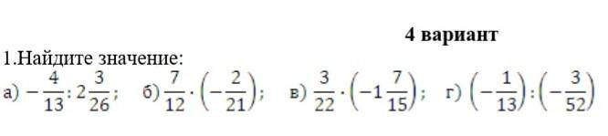
Помогите пожалустаа сор по математике ​

Приложения:

Ответы

Ответ дал: ilamorozov210
1

Ответ:

сам ответ не скажу но помочь могу (это не потому что я не знаю, я знаю мне лень решать но помочь могу):)

смотри, чтобц разделить дробь на дробь тебе сначала

нужно её упростить, то есть надо целое число умножить на знаменатель и прибавить то что получится к числителю,

Дальше при делении дроби на дробь происходит такая фигня:

при делении дроби на дробь надо перевернуть вторую дробь и не делить а умножать на неё первую, дальше уже идёт по разному, при возможности обязательно надо сократить,

если числитель будет Больше чем знаменатель то переведи её в смкшвнную дробь.

Вас заинтересует