• Предмет: Математика
  • Автор: aleksei7464
  • Вопрос задан 3 года назад

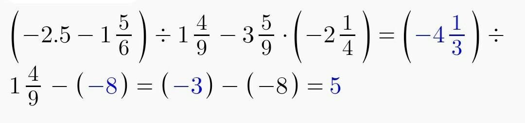
Пж даю 30 баллов, пожалуйста можно с решением.​

Приложения:

Ответы

Ответ дал: dzumabekovt57
1

Ответ:

это правильно или не правильно не знаю

Приложения:
Ответ дал: begimajparpieva9
1

Ответ:

держи ответ надеюсь помогла

Приложения:
Вас заинтересует