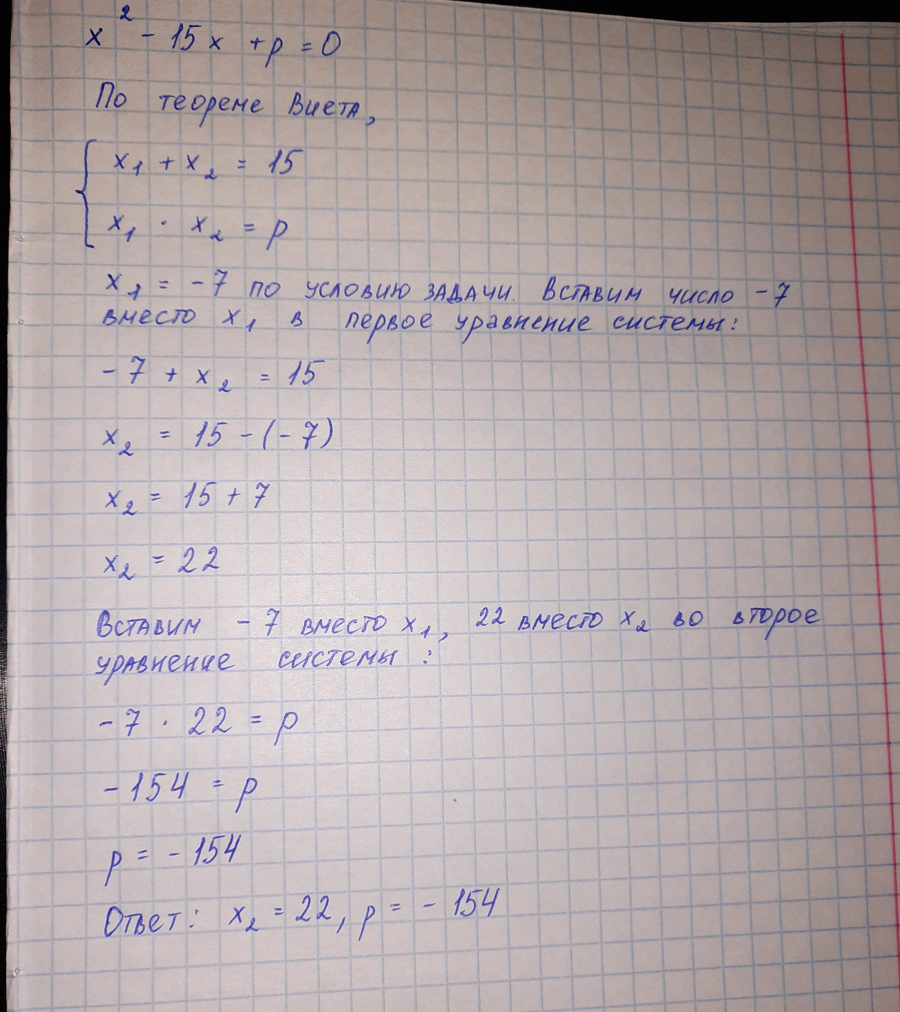
Число -7 является корнем уравнения x²-15x+p=0. Найдите второй корень уравнения и значение p. Используя теорему Виета
ОЧЕНЬ СРОЧНО
Ответы
Ответ дал:
0
Ответ: во вложенном файле
Приложения:

Вас заинтересует
2 года назад
2 года назад
2 года назад
7 лет назад
7 лет назад