Ответы
Ответ дал:
0
Ответ:
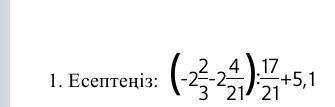
Получится: -0,9
Пошаговое объяснение:
вложение
Приложения:

Ответ дал:
0
Ответ:-0.9
Пошаговое объяснение:
решение на фото
можно ❤️ и лучший ответ?
и оценку
Приложения:


Вас заинтересует
2 года назад
2 года назад
7 лет назад
9 лет назад