• Предмет: Математика
  • Автор: shool199
  • Вопрос задан 3 года назад

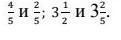
сравните дроби
срочнооооо​

Приложения:

Ответы

Ответ дал: MasterskayaOtca
0

Ответ:

4/5 > 2/5;

3 1/2 > 3 2/5

Пошаговое объяснение:

4/5 > 2/5;

3 1/2 > 3 2/5 = 7/2 и 17/5 = 35/10 и 34/10, следовательно 35/10 > 34/10

Вас заинтересует