• Предмет: Алгебра
  • Автор: stankevichvaieriyasc
  • Вопрос задан 3 года назад

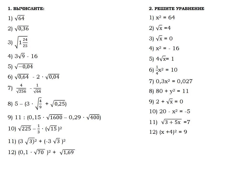
ПОМОГИТЕ ПОЖАЛУЙСТА , ЗАДАНИЕ ПО АЛГЕБРЕ 8 КЛАСС

Приложения:

Ответы

Ответ дал: kenzhebaevadiana
1

Ответ:

1.1)8

2)0,6

3)1,4

4)-7

5)0,2

6)0,4

7)0,125

8)2,5

9)5

10)10

11)54

12)2


stankevichvaieriyasc: вы не знаете на 2. решение уравнений ?
kenzhebaevadiana: могу решить, но попозже. со своей домашкой разберусь
stankevichvaieriyasc: СПАСИБО!!
kenzhebaevadiana: 1)8
kenzhebaevadiana: 2)х=16 3)х=0 4)х=4:-4 5)х=0.0625 6)х=2корень10;-2корень10 7)х=0,3;-0,3 8)х=корень69;-корень69 9)нет решения 10)x=5;−5 11)х=9,2 12)х=-1;-7
stankevichvaieriyasc: Спасибо
Вас заинтересует