Ответы
Ответ дал:
0
Ответ:
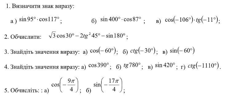
1.
а) Меньше нуля
б) Больше нуля
в) Меньше нуля
2. -0,5
3.
а)0,5
б)
в)
4.
а)
б)
в)
г)
5.
а)
б)
Объяснение:
Смотрите фотографии!
Приложения:



Вас заинтересует
2 года назад
2 года назад
2 года назад
2 года назад
7 лет назад
7 лет назад
9 лет назад