• Предмет: Физика
  • Автор: Marinka0111
  • Вопрос задан 11 лет назад

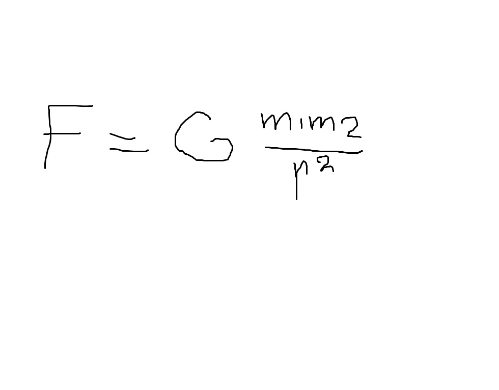
Нужно выразить отсюда массу(обе)

Приложения:

Ответы

Ответ дал: ГалинаВалентиновна
0
m1=FR^2/Gm2 
m2=FR^2/Gm1
Вас заинтересует