• Предмет: Химия
  • Автор: Аноним
  • Вопрос задан 3 года назад

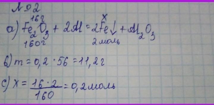
помогите сор химий 8 класс
кто хорошо знаеть химию​

Приложения:

Ответы

Ответ дал: aimantursyn
4

Ответ:

Кешірші, менде только 1 осы тапсырма бар.Бұл дұрыс, менікі басқа екен осы ғана сәйкес келеді екен, ренжіме..

Приложения:

Аноним: удачи быть статус умный
Вас заинтересует