• Предмет: Математика
  • Автор: innnnnnastya
  • Вопрос задан 3 года назад

помогите пожалуйста !!​

Приложения:

Ответы

Ответ дал: NIEKIESABARBARA
0

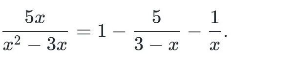
  \frac{5x}{x^{2 - 3x} } = 1 - \frac{5}{3-x} - \frac{1}{x} \\    

1. Нужно сократить дробь:

\frac{5x}{x*(x-3)} = 1 - \frac{5}{3-x} - \frac{1}{x}

2. Сократить противоположные выражения:

\frac{5}{x-3} - \frac{5}{x-3} + \frac{1}{x} = 1

3. Умножьте обе части:

\frac{1}{x} = 1

4. Верно ли равенство:

x=1, x\neq 0, x\neq 3

Ответ:

x=1

Вас заинтересует