Ответы
                                            Ответ дал: 
                                                                                    
                                        
                                            
                                                
                                                
                                                
                                                    3
                                                
                                            
                                        
                                    Ответ:
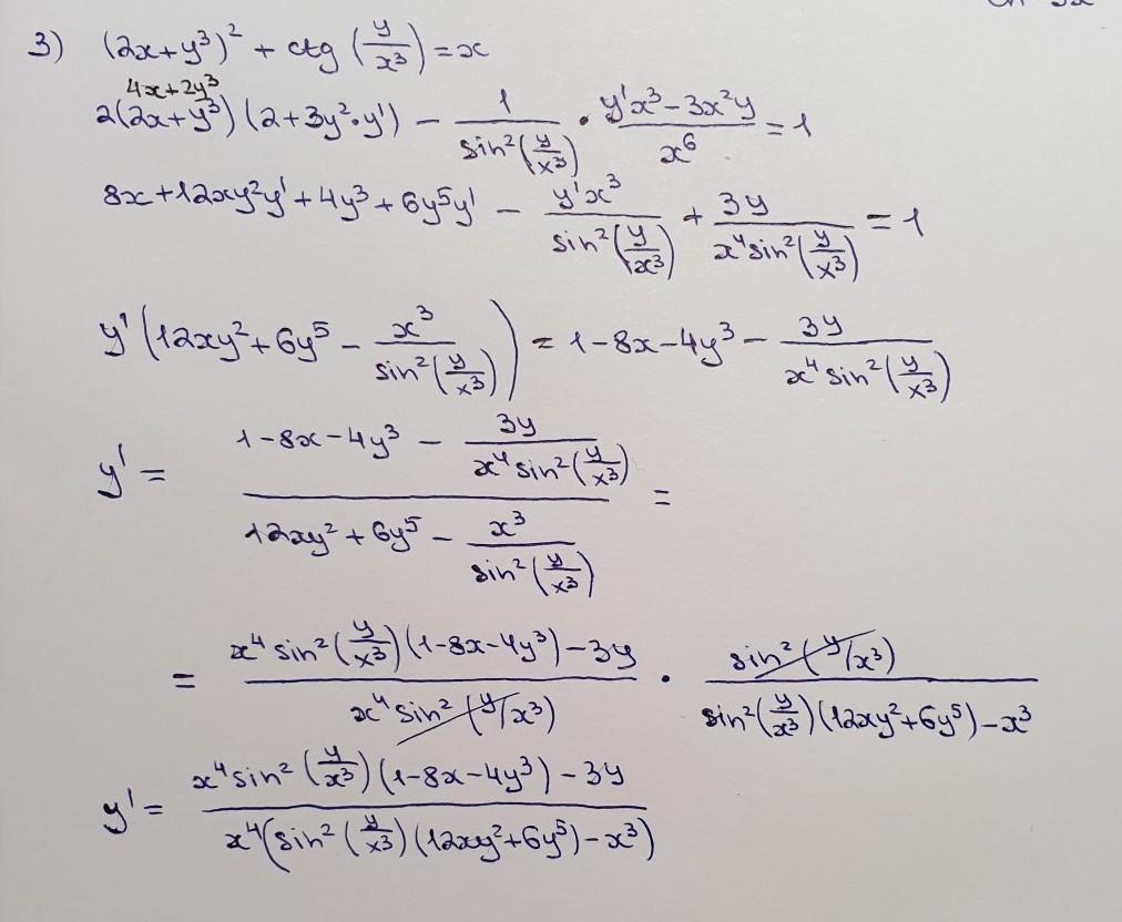
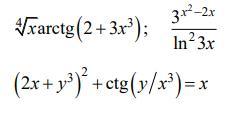
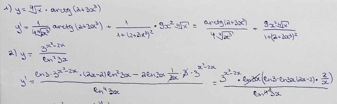
решение на фотографиях
Приложения:
                    
                            
                            
                    perviychelovek35:
                    здравствуйте вы не могли бы мне помочь с алгеброй пожалуйста умоляю
                
            Вас заинтересует
                
                        2 года назад
                    
                
                        2 года назад
                    
                
                        7 лет назад
                    
                
                        9 лет назад
                    
                
                        9 лет назад