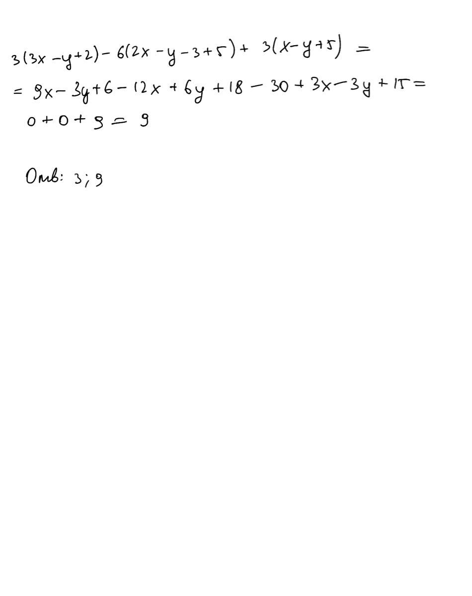
Определи, на какие числа делится без остатка выражение
3(3x – y + 2) – 6(2x – y – 3 + 5) + 3(x – y + 5)
Верных ответов: 2 10 7 3 11 8 9 21
mirzaevaoksana8:
Какой ответ
Ответы
Ответ дал:
63
===========================
Приложения:

Вас заинтересует
2 года назад
2 года назад
2 года назад
7 лет назад
7 лет назад
9 лет назад