• Предмет: Алгебра
  • Автор: UhatSome
  • Вопрос задан 3 года назад

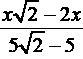
ПЖ ПОМОГИТЕ СОКРАТИТЬ ДРОБЬ ПЖПЖПЖПЖ ПРОШУ
ДАМ 30 БАЛЛОВ

Приложения:

Ответы

Ответ дал: martinovica107
1

Ответ: (x✓2):5

x✓2-✓2*x✓2 : ( 5✓2-5)

(1-✓2)(x✓2) : 5(1-✓2)=(x✓2):5

Вас заинтересует