Ответы
Ответ дал:
1
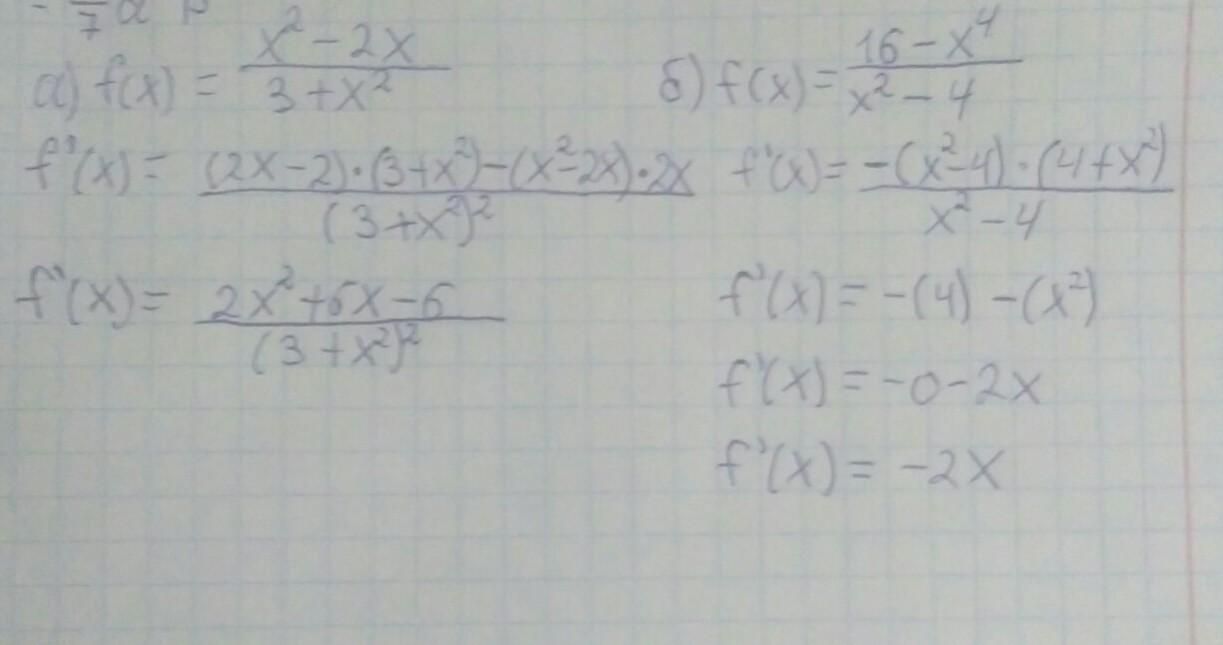
Решение на фото
Надеюсь помог)))
Приложения:

Аноним:
Спасибо большое! Остались на Руси мужики ещё!
Вас заинтересует
2 года назад
2 года назад
2 года назад
7 лет назад
7 лет назад
9 лет назад
9 лет назад