Ответы
Ответ дал:
0
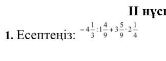
Налеюсь я правильно поняла задание
Приложения:

Вас заинтересует
2 года назад
2 года назад
2 года назад
2 года назад
7 лет назад
7 лет назад