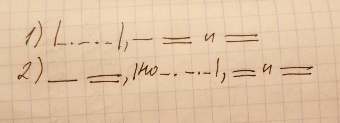
Сделайте схемы предложений и обозначить главные члены предложения (прич оборот если есть)
Шлепая по воде, в середине она резко погрузилась в воду и вышла на берег.
Он пошел по воде, но достигнув глубокого места, испугался и решил остановиться.
Ответы
Ответ дал:
1
Главные члены предложения :
1)Она погрузилась, вышла
2)Он пошёл, испугался, решил остановиться обороты:
Шлёпая по воде(дееприч оборот)
достигнув голубого места(дееприч оборот)
Со схемами я не уверена, потому что мы их обычно не делаем, но вроде так
Приложения:
MaxPrime7:
пасибааааа
Вас заинтересует
2 года назад
8 лет назад
9 лет назад