• Предмет: Алгебра
  • Автор: Аноним
  • Вопрос задан 3 года назад

Помогите прошу!!! ПОЖАЛУЙСТА!!!

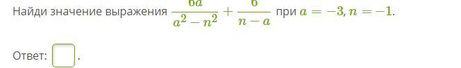
Приложения:

Ответы

Ответ дал: омега75
1

Объяснение:

Решение на фото......

Приложения:

Аноним: спасибо огромное
Вас заинтересует