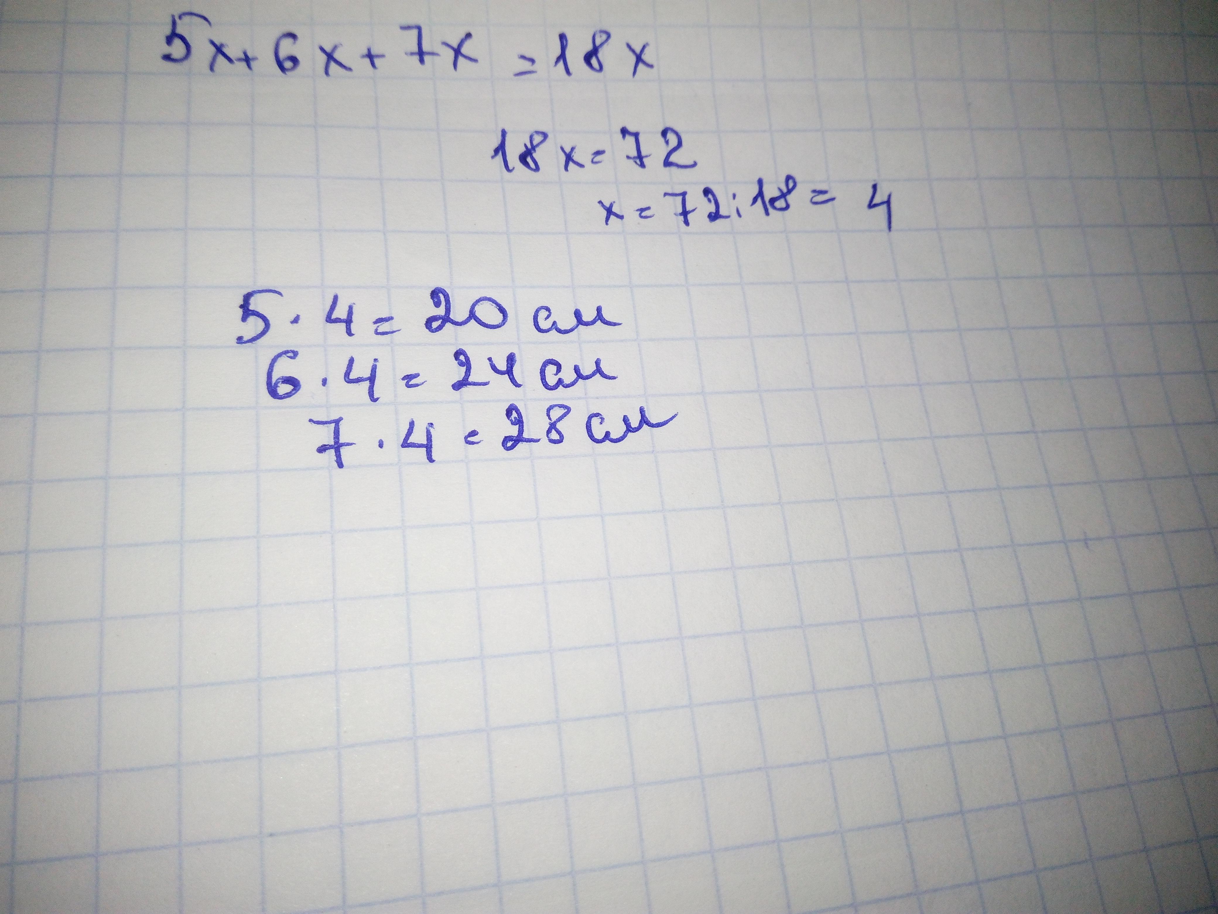
Відрізок завдовжки 72 см поділили на частини, які відносяться 5:6:7. Знайдіть довжину кожної частини
Ответы
Ответ дал:
5
Ответ:фото
Пошаговое объяснение:
Приложения:

Ответ дал:
1
Ответ:
первая часть 20 вторая 24 третья 28
Пошаговое объяснение:
Вас заинтересует
2 года назад
2 года назад
2 года назад
7 лет назад
7 лет назад