• Предмет: Алгебра
  • Автор: adelinasss55
  • Вопрос задан 3 года назад

Помогите пожалуйста!!! Через 13 минут мне уже сдавать!

Приложения:

Ответы

Ответ дал: NetPhantom
1

Ответ:

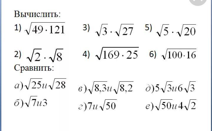
1)\sqrt{49}*\sqrt{121}=7*11=77

2)\sqrt{16}=4

3)\sqrt{81\\}=9

4)\sqrt{169}*\sqrt{25}=13*5=65

5)\sqrt{100}=10

6)\sqrt{100}*\sqrt{16}=10*4=40

a)\sqrt{25}<\sqrt{28}

б)представим 3 как корень :\sqrt{7}<\sqrt{9}  =>

в)\sqrt{8,3}>\sqrt{8,2}

г)представим 7 как корень: \sqrt{49}<\sqrt{50}  => 7<

д)5\sqrt{3}<6

е) внесём 4 под корень: \sqrt{50}>\sqrt{36} =>  


adelinasss55: Спасибо!!!Я сверила со своим ответом,все правильно!!!
NetPhantom: Пожалуйста)
Вас заинтересует