Ответы
Ответ дал:
1
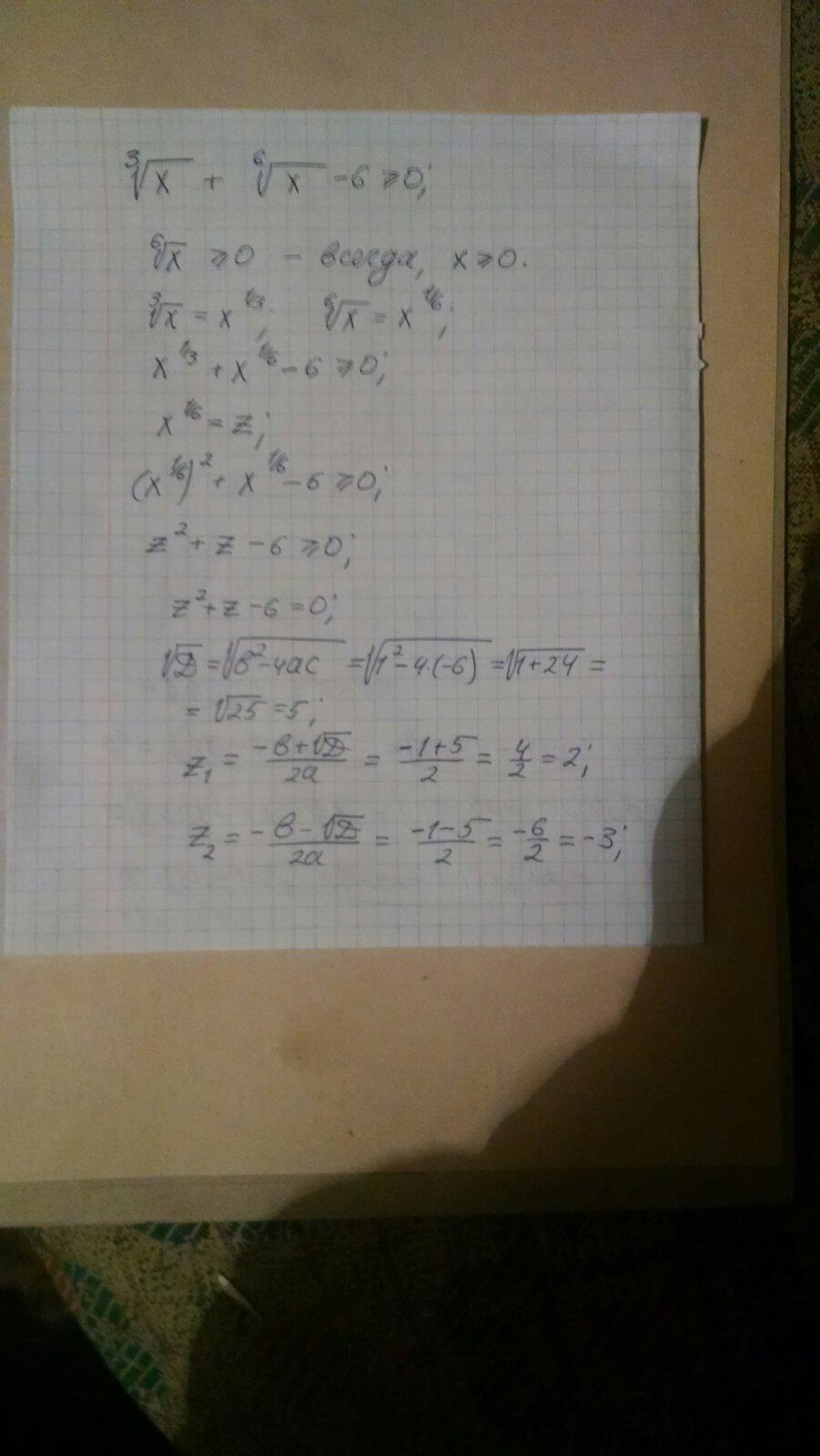
Ответ: x ∈ [ 64; +∞).
Объяснение:
Приложения:


Вас заинтересует
2 года назад
2 года назад
7 лет назад
7 лет назад
9 лет назад