• Предмет: Алгебра
  • Автор: mrtornado1404
  • Вопрос задан 3 года назад

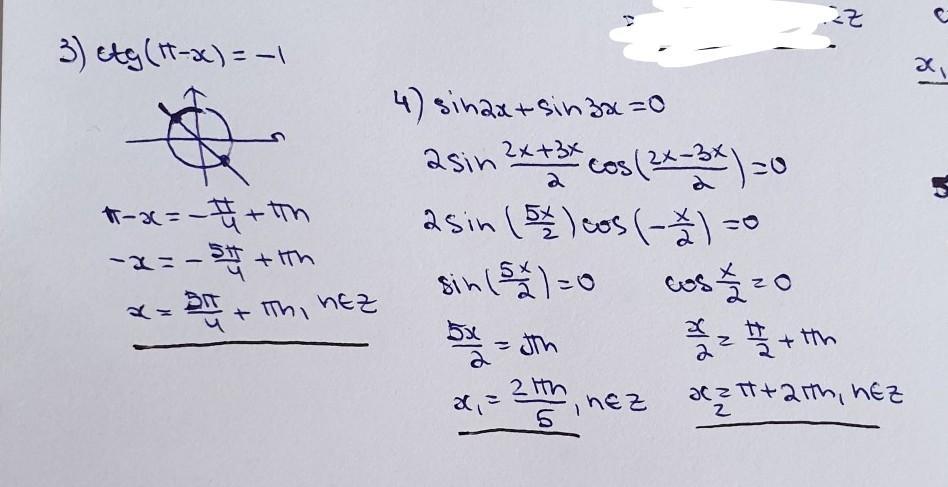
Помогите пожалуйста, решить тригонометрические уравнения

Приложения:

Ответы

Ответ дал: Miroslava227
2

Ответ:

решение на фотографиях

Приложения:

kabylbekov2424: помогите решить пожалуйста
kabylbekov2424: срочно
kabylbekov2424: вопрос уже стоит
Вас заинтересует