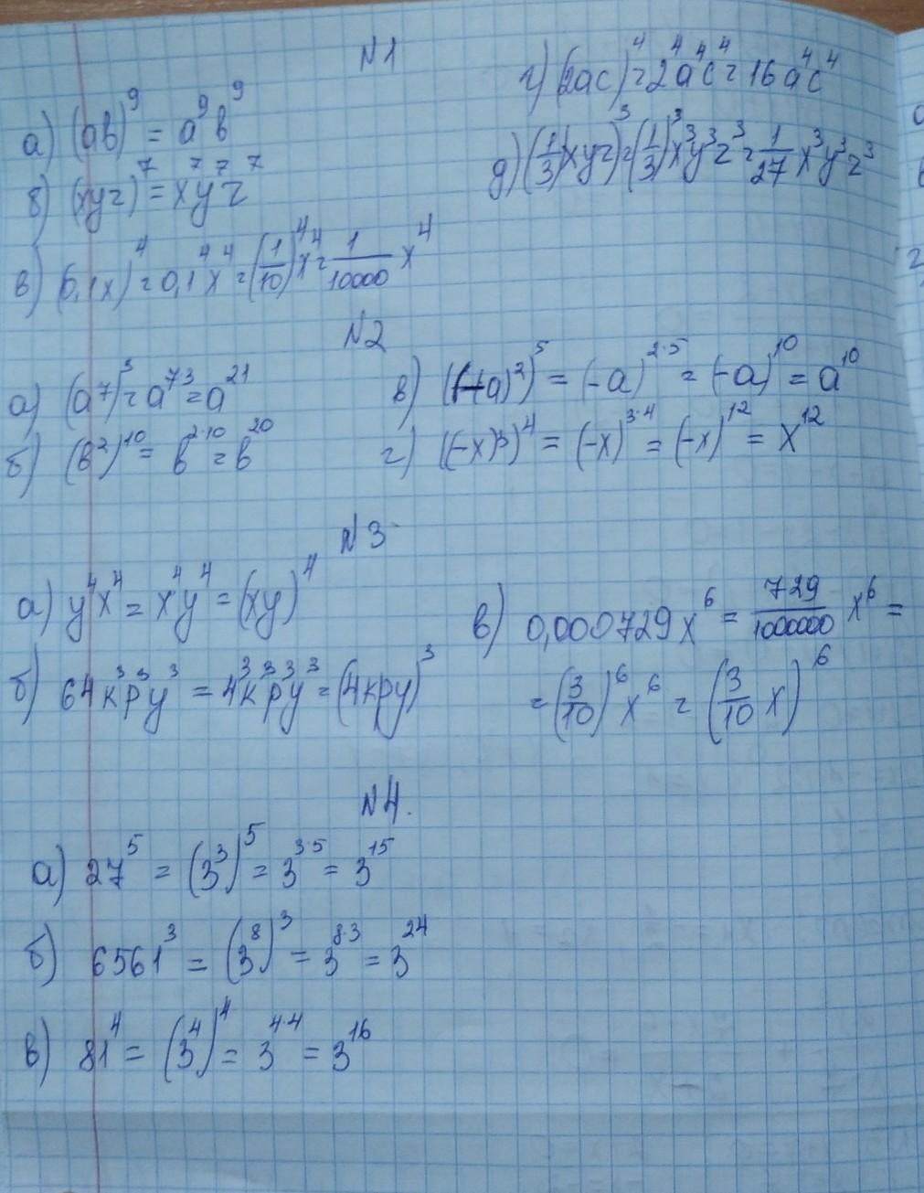
где написана домашняя работа сделайте пж срочно нужно
Приложения:
Ответы
Ответ дал:
1
оооооооооооооооооооооооо
Приложения:

fedoseevk361:
спасибо
Вас заинтересует
2 года назад
2 года назад
2 года назад
2 года назад
7 лет назад
7 лет назад
9 лет назад
9 лет назад