• Предмет: Математика
  • Автор: erktom3869
  • Вопрос задан 3 года назад

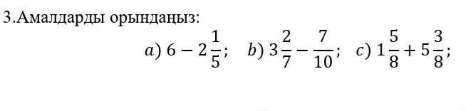
ПЖПЖПЖПЖПЖПЖП ОЧЕНЬ СРОЧНО ПЛИИИЗ

Приложения:

Ответы

Ответ дал: gjgkgg833
0

Ответ:

А)3,8 b)2.5 c)7. Както так


erktom3869: а как решается как писать надо?
Вас заинтересует