1. Раскройте скобки:
а) + (a + b - c) =
б) + (- a - b + c) =
в) - (- a + b - c) =
г) - (a - b + c) =
2. Раскройте скобки и вычислите:
а) - (11 - 27) =
б) + (69 - 33) - 69 =
3.Решите уравнения
а) 25 + (x + 12) = 78
б) 126 –(–134 – a) = 115
в) – 405 – (28 + m) = - 267
4. Раскройте скобки и приведите подобные слагаемые.
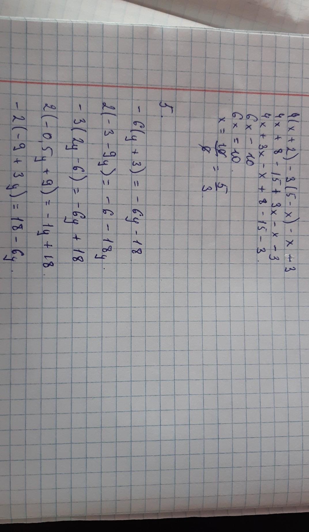
4(х+2)-3(5-х)-х-3
5. Верно раскрыты скобки ?
–6(y+3) = –6y -18
2(–3–9у) = –6 -18y
–3(2у–6) = –6y+18
2(–0,5у +9) = –y+18
–2(–9+3y) = 18–6y
Ответы
Ответ дал:
1
Ответ:
1.
а)a+b-c
б)-a-b+c
в)+a-b+c
г)-а+b-c
2.
a)16
б)-33
Приложения:


Аноним:
спасибо огромное
Вас заинтересует
2 года назад
2 года назад
2 года назад
2 года назад
7 лет назад
7 лет назад
9 лет назад