• Предмет: Математика
  • Автор: arsenkl242
  • Вопрос задан 3 года назад

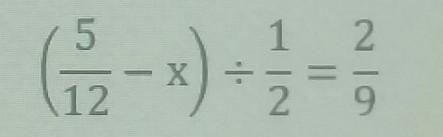
3. Решить уравнение:

Приложения:

Ответы

Ответ дал: кричи
1

Ответ:

х=11/36

Пошаговое объяснение:

* это умножить

(5/12-х)*2=2/9

5/6-2х=2/9

-2х=2/9-5/6

-2х=-11/18

Ответ дал: vaselisanovosyolova
1

Ответ х=11/36

Пошаговое объяснение:

деление дроби,это умножение,тогда (5/12-х)*2=2/9

после умножения получаем 5/6-2х=2/9

переносим часть с х в лево -2х=2/9-5/6

получаем -2х=-11/18

- на - равно +,получаем 11/36

Вас заинтересует