• Предмет: Алгебра
  • Автор: islamhajimetov
  • Вопрос задан 3 года назад

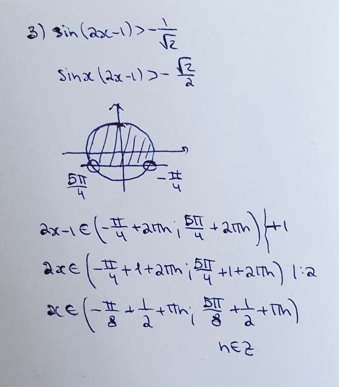
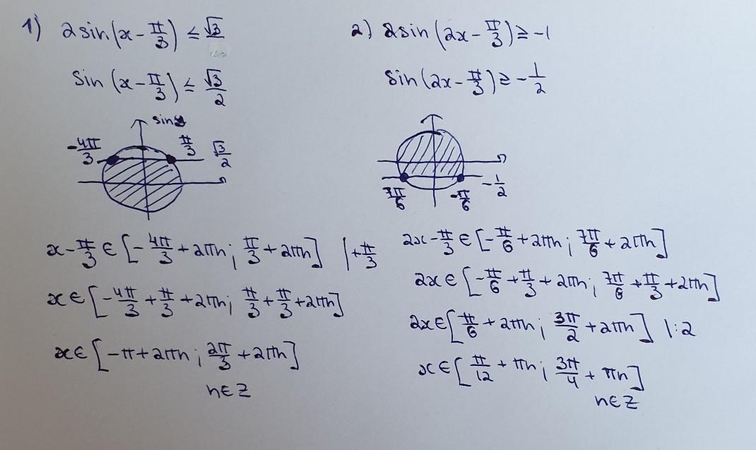
решите пожалуйста тригонометрические неравенства с подробным решением
Даю 100 б

Приложения:

Ответы

Ответ дал: Miroslava227
1

Ответ:

решение на фотографиях

Приложения:

islamhajimetov: спасибо
Вас заинтересует