• Предмет: Математика
  • Автор: Аноним
  • Вопрос задан 3 года назад

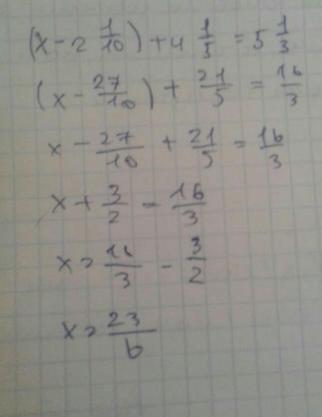
(х- 2 1/10 ) + 4 1/5 = 5 1/3
Напишите пожалуйста с решением

Ответы

Ответ дал: zhegulevtsev12
1

Вот держи удачи тебе :)

Приложения:

Аноним: спасибо большое!!!
zhegulevtsev12: не за что
Вас заинтересует