Ответы
Ответ дал:
0
Ответ:
Объяснение:
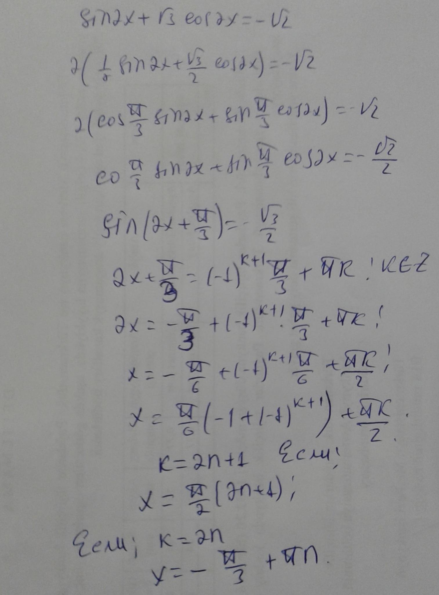
sin2x+√3cos2x=-√2
Приложения:

Вас заинтересует
2 года назад
2 года назад
7 лет назад
9 лет назад
9 лет назад