Ответы
Ответ дал:
1
Ответ: воть
Объяснение:
Приложения:

xxxHELPMExxx:
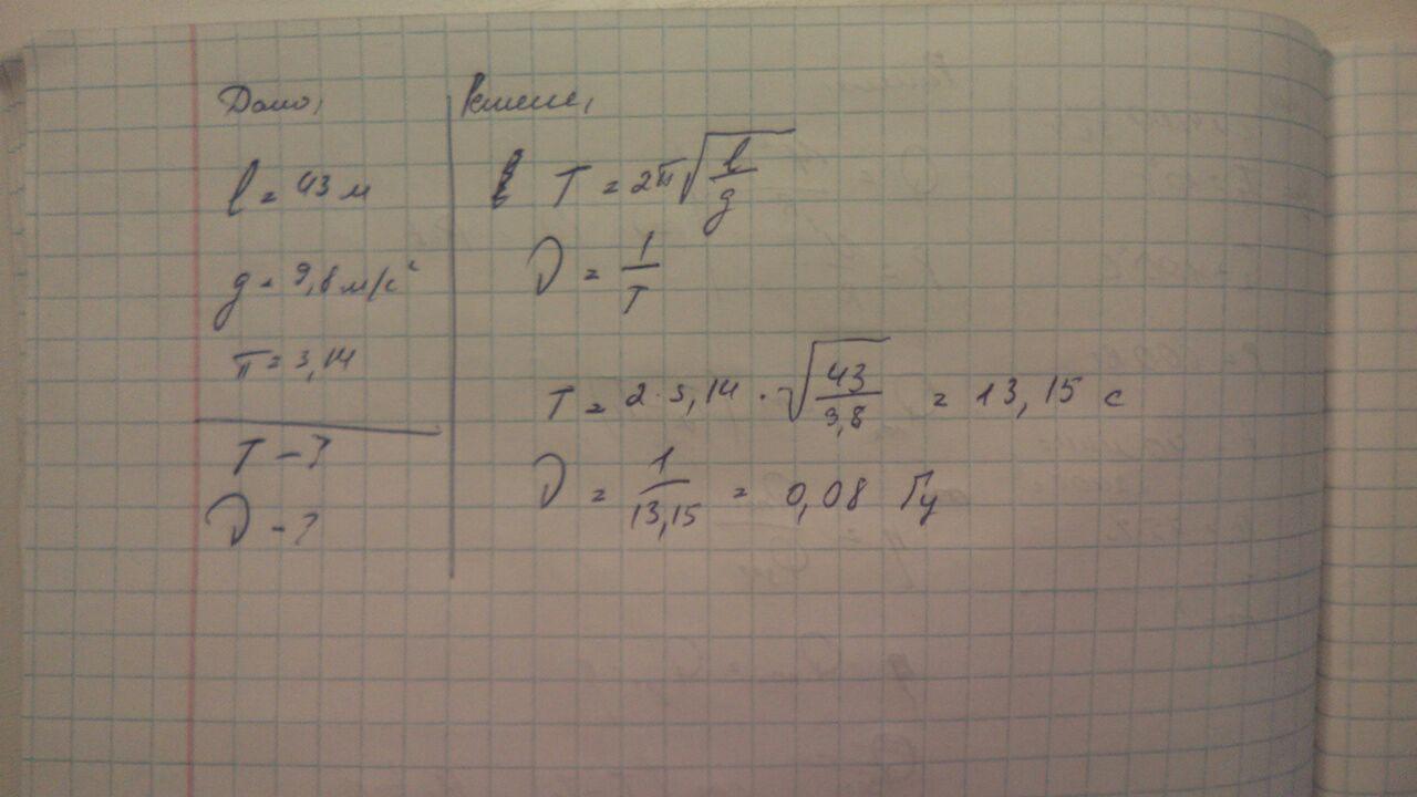
У меня вопрос, почему l=43м?)
Вас заинтересует
2 года назад
2 года назад
7 лет назад
7 лет назад
9 лет назад