Ответы
Ответ дал:
1
Ответ:
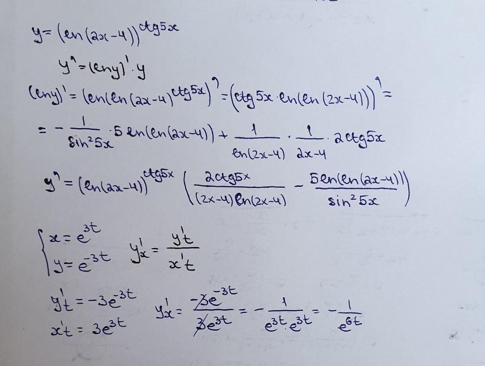
решение на фотографии
Приложения:

nikorarodion25:
здравствуйте могли б вы мне помоч 3 заданиями по фызике пожалуйста
Вас заинтересует
2 года назад
2 года назад
2 года назад
2 года назад
7 лет назад
9 лет назад
9 лет назад