• Предмет: Математика
  • Автор: BlackWaze23
  • Вопрос задан 3 года назад

Помогите с математикой
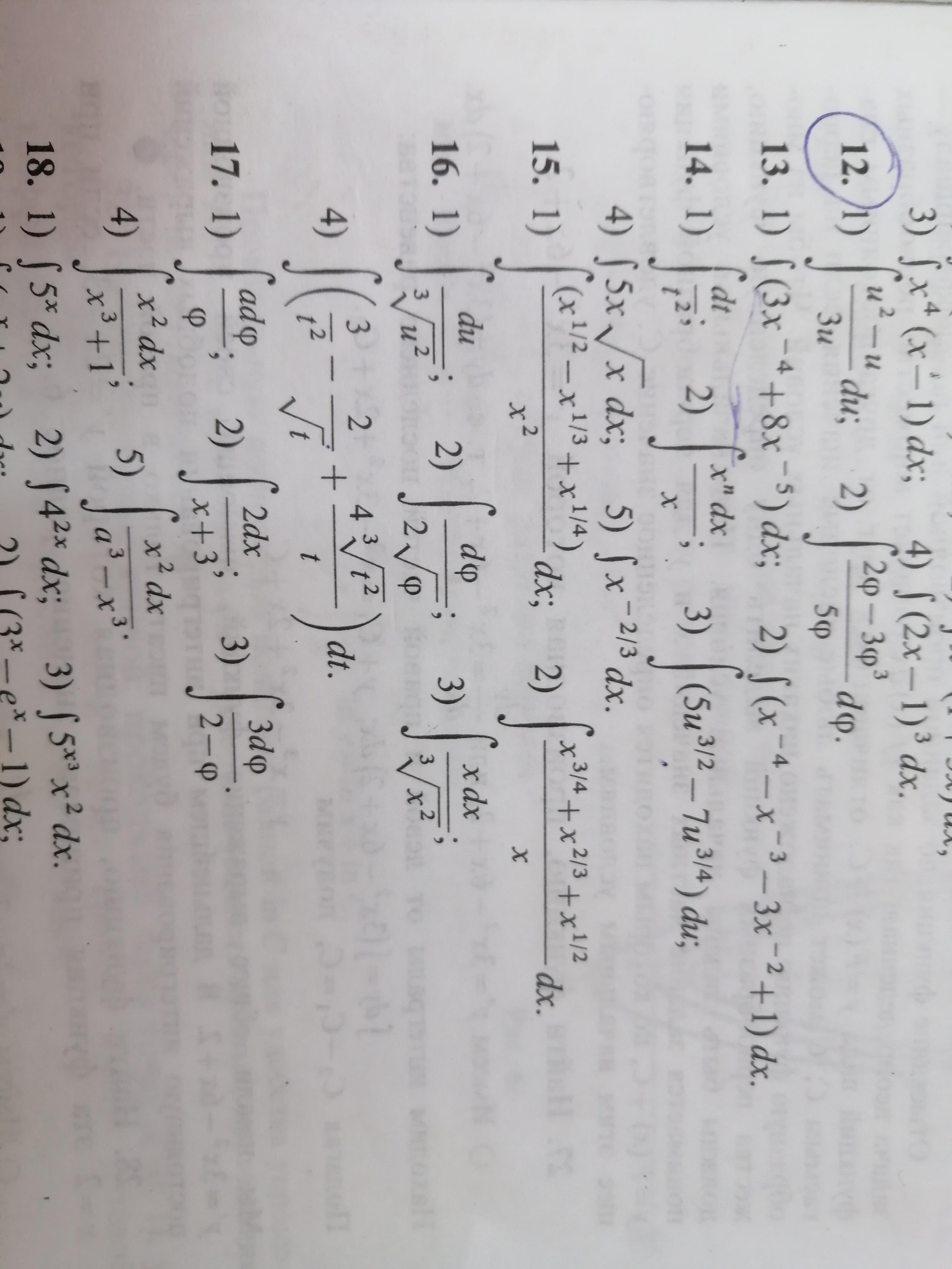
Решите 15 номер

Приложения:

Ответы

Ответ дал: Miroslava227
0

Ответ:

1)\int\limits( \frac{ {x}^{ \frac{1}{2} } }{ {x}^{2} }  -  \frac{ {x}^{ \frac{1}{3} } }{ {x}^{2} }  -  \frac{ {x}^{ \frac{1}{4} } }{ {x}^{2} } )dx =\\ \int\limits( {x}^{ \frac{1}{2}  - 2}   -   {x}^{ \frac{1}{3}  - 2}  +  {x}^{ \frac{1}{4} - 2 } )dx = \int\limits( {x}^{ -  \frac{3}{2} }  -  {x}^{ -  \frac{5}{3} }  +   {x}^{ -  \frac{7}{4} }  )dx = \\ \frac{ {x}^{ \frac{ - 1}{2} } }{ -  \frac{1}{2} }  -  \frac{ {x}^{ -  \frac{2}{3} } }{ -  \frac{2}{3} }  +  \frac{ {x}^{ -  \frac{3}{4} } }{ -  \frac{3}{4} }  + C =   - \frac{2}{ \sqrt{x} }  -  \frac{3}{2 \sqrt[3]{ {x}^{2} } }  -  \frac{4}{3 \sqrt[4]{ {x}^{3} } }  + C

2)\int\limits( \frac{ {x}^{ \frac{3}{4} } }{x}  +  \frac{ {x}^{ \frac{2}{3} } }{x}  +  \frac{ {x}^{ \frac{1}{2} } }{x} )dx =\\ \int\limits( {x}^{ \frac{3}{4} - 1 }  +  {x}^{ \frac{2}{3}  - 1}  +  {x}^{ \frac{1}{2}  - 1} )dx = \int\limits( {x}^{ -  \frac{1}{4} }  +  {x}^{ -  \frac{1}{3} }  +  {x}^{ \frac{1}{2} } )dx =\\  \frac{ {x}^{ \frac{3}{4} } }{ \frac{3}{4} }  +  \frac{ {x}^{ \frac{2}{3} } }{ \frac{2}{3} }  +  \frac{ {x}^{ \frac{3}{2} } }{ \frac{3}{2} }  + C =  \frac{4}{3}  \sqrt[4]{ {x}^{3} }  +  \frac{3}{2} \sqrt[3]{ {x}^{2} }   +  \frac{2}{3} x \sqrt{x}  + C

Вас заинтересует