Определите, какие значения принимают выражения, если
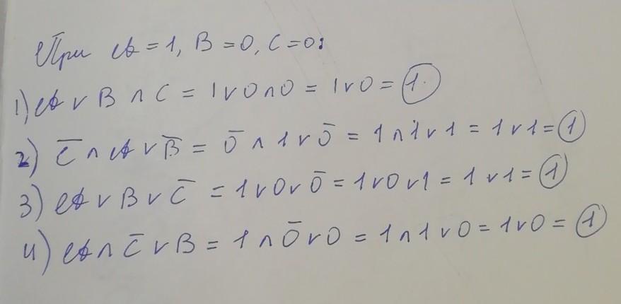
А=1, В=0, С=0
А˅В˄С=
¬С˄А˅¬В=
А˅В˅¬С=
А˄¬С˅В=
Ответы
Ответ дал:
10
гляньте-ка..
еп1012ри
Приложения:

Bylochka6:
Хех, спасибо)
Вас заинтересует
2 года назад
2 года назад
7 лет назад
7 лет назад
9 лет назад