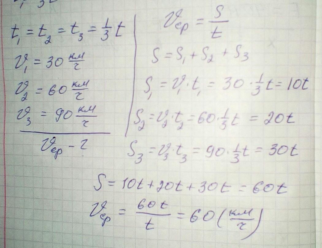
Физика. Найдите среднюю скорость автомобиля, если 1 треть времени он двигался со скоростью - 30 км/ч, 2 - 60 км/ч, 3 - 90 км/ч.
40 баллов, только за отличный ответ!
Ответы
Ответ дал:
1
Ответ:
...........................................................
Приложения:

volodkinmax2016:
Красава
Вас заинтересует
2 года назад
2 года назад
2 года назад
2 года назад
7 лет назад
7 лет назад