• Предмет: Математика
  • Автор: ayphik
  • Вопрос задан 3 года назад

спаситееееее!СОРЧНО 20 БАЛЛОВ , ТУТ РИЛ НЕЧЕГО ДЕЛАТЬ НО Я ПРОСТО ТУПАЯЯЯЯЯ​

Приложения:

Ответы

Ответ дал: tbinstituz
1

Ответ:

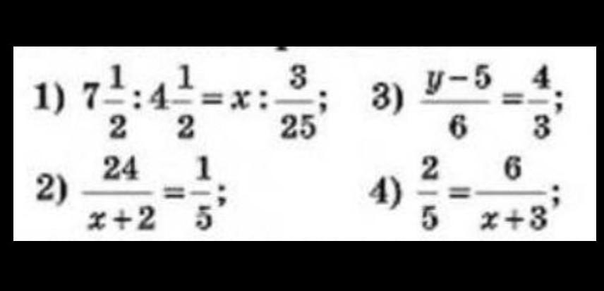
1) 7 1/2: 4 1/2 = х:3/25

х= 3/25*(7 1/2: 4 1/2) = 3/25* (15/2: 9/2) = 3/25* (15/2*2/9) = 3/25*5/3=1/5

2) 24/х+2 = 1/5

х+2 = 24: 1/5 = 24*5 = 120

х=120-2=118

3) у-5/6 = 4/3

у = 4/3+5/6 = 8/6+5/6 = 13/6 = 2 1/6

4) 2/5 = 6/(х+3)

Х+3 = 6: 2/5 = 6*5/2 = 15

х= 15-3 = 12

Пошаговое объяснение:


ayphik: святой человек
ayphik: как сделать лучшим ответом??
esirkepdinara6: Не знаю
ayphik: спасибо , помогла
Вас заинтересует