• Предмет: Алгебра
  • Автор: иолантаи
  • Вопрос задан 3 года назад

требуется помощь с подробным решением

Приложения:

Ответы

Ответ дал: manyny06
1

Ответ:

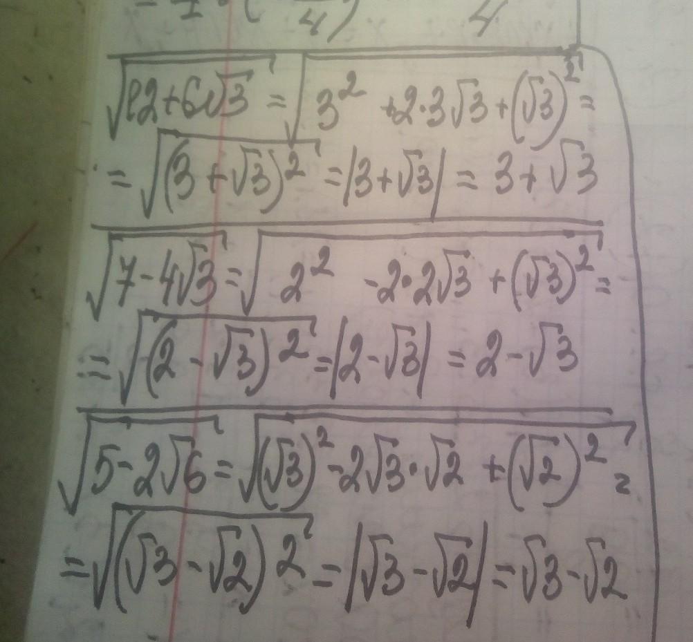
решение на фотографии

Приложения:

иолантаи: спасибо
Вас заинтересует