Ответы
Ответ дал:
0
Ответ:
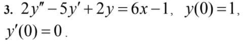
решение на фотографии
Приложения:

Вас заинтересует
2 года назад
2 года назад
7 лет назад
7 лет назад