• Предмет: Математика
  • Автор: Vanchello2005
  • Вопрос задан 3 года назад

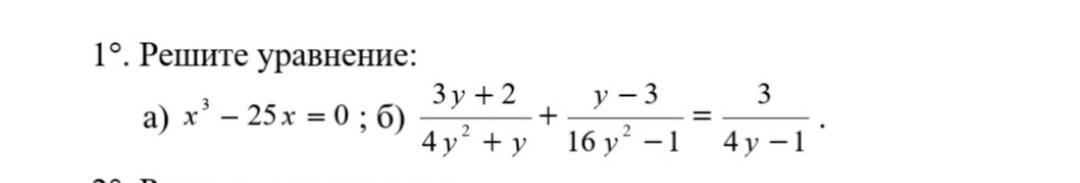
Решите уравнение
Даю 30 баллов

Приложения:

Ответы

Ответ дал: anastiasiia
0
а) х(х-25)=0
х=0 или х=25
б) не знаю
Вас заинтересует