Ответы
Ответ дал:
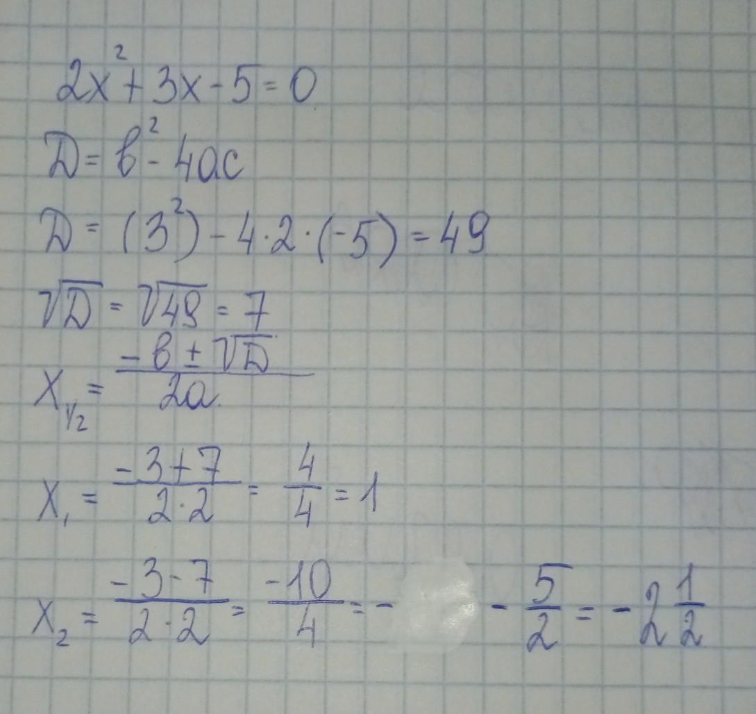
1
Ответ:
Остальные по такому же принципу, по этим же формулам
Приложения:

Вас заинтересует
2 года назад
2 года назад
7 лет назад
9 лет назад
9 лет назад