• Предмет: Математика
  • Автор: Аноним
  • Вопрос задан 3 года назад

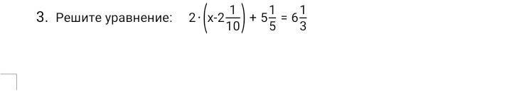
ПОМОГИ ТЕ ПАЖАЛУЙСТА ЭТО СОР ​

Приложения:

Ответы

Ответ дал: zarinaaliakfarova
0

Ответ:

скачай фото мач там ано само решит

Вас заинтересует