• Предмет: Математика
  • Автор: charles987567
  • Вопрос задан 3 года назад

С решением пожалуйста!

Приложения:

Ответы

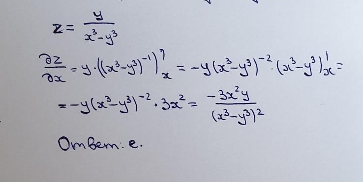
Ответ дал: Miroslava227
0

решение на фотографии

Ответ: е.

Приложения:
Вас заинтересует