Ответы
Ответ дал:
1
Ответ:
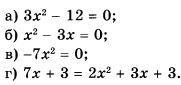
решение на фото
......................
Приложения:

serikovboris777:
Большое спасибо!
Вас заинтересует
2 года назад
2 года назад
2 года назад
2 года назад
7 лет назад
7 лет назад
9 лет назад
9 лет назад