Ответы
Ответ дал:
0
Ответ:
4
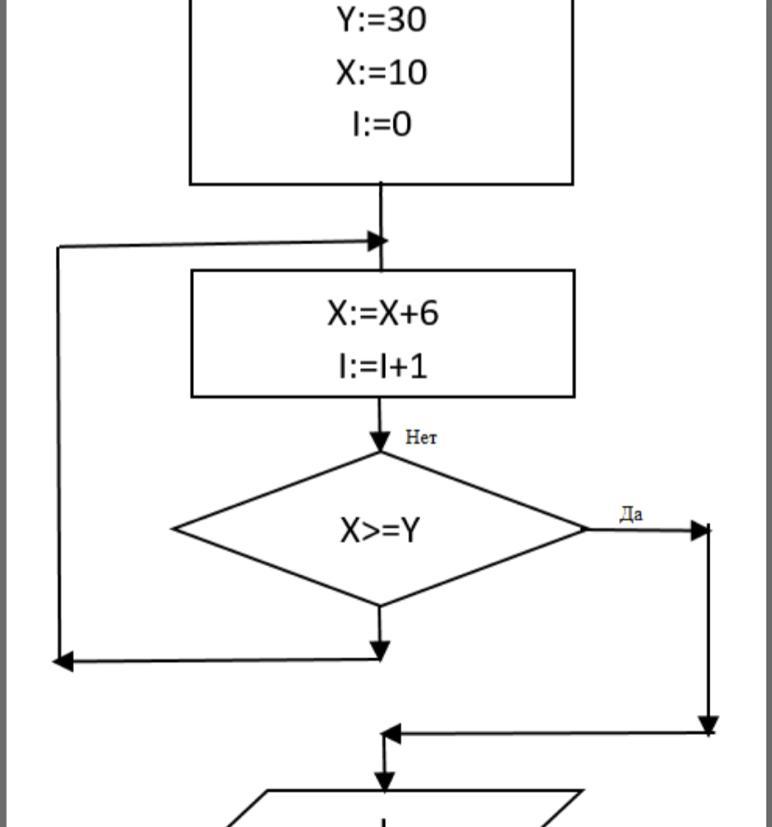
Объяснение:
1) х=16
l=1
2) x=22
l=2
3) x=28
l=3
4) x=34
l=4
Вас заинтересует
2 года назад
2 года назад
3 года назад
3 года назад
8 лет назад
8 лет назад