• Предмет: Алгебра
  • Автор: theгусь228
  • Вопрос задан 3 года назад

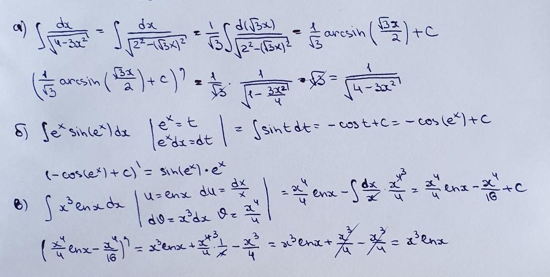
Помогите решить неопределëнные интергалы!

Приложения:

Ответы

Ответ дал: Miroslava227
1

Ответ:

решение на фотографии

Приложения:
Вас заинтересует