помогите пожалуйста,могу дать даже корону.
Приложения:

ghostttttttt:
поймешь если на листочке напишу? нужно расписать?
Ответы
Ответ дал:
1
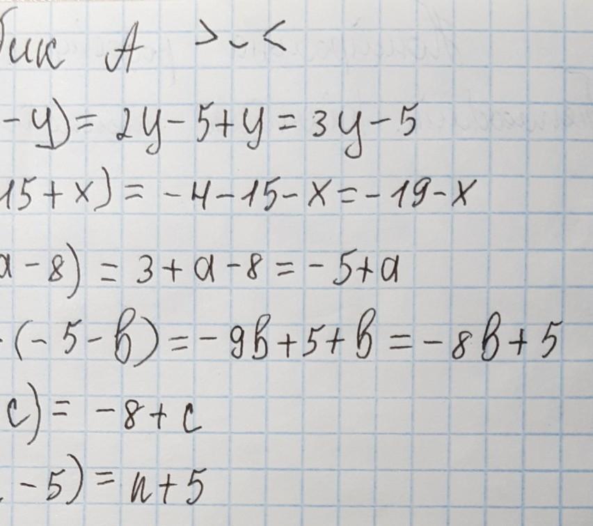
Ответ:
2y-5+y
-19-x
-5+a
-9b+5+b
-8+c
n+5
-3y+9-y
17-x
2-a
-5b-8-b
c-12
-7-n
Ответ дал:
1
надеюсь все видно и понятно
Приложения:




Вас заинтересует
2 года назад
2 года назад
2 года назад
2 года назад
7 лет назад